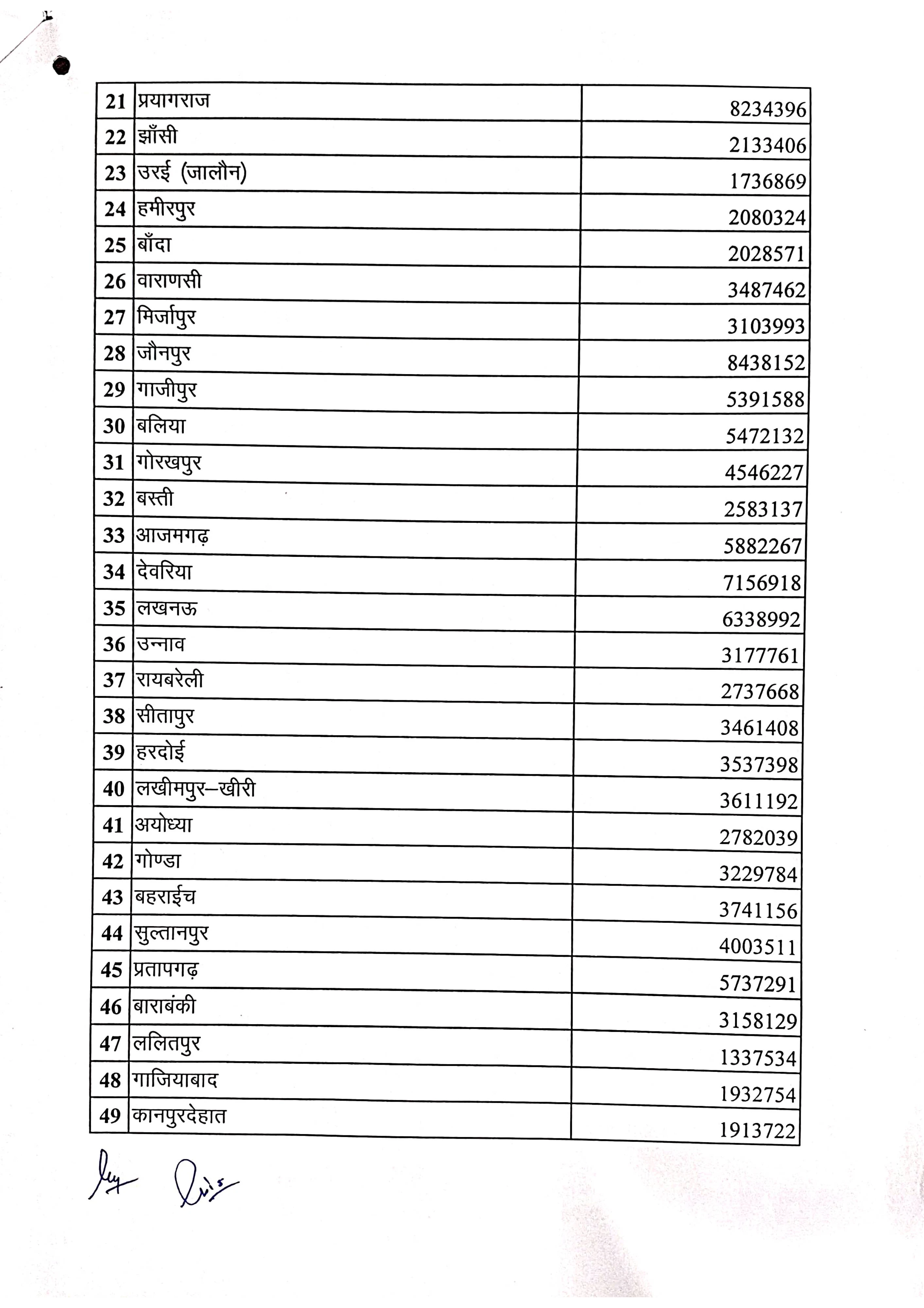
यूपी बोर्ड : कक्ष निरीक्षक डयूटी का पारिश्रमिक बजट आवंटन

यूपी बोर्ड : कक्ष निरीक्षक डयूटी का पारिश्रमिक बजट आवंटन