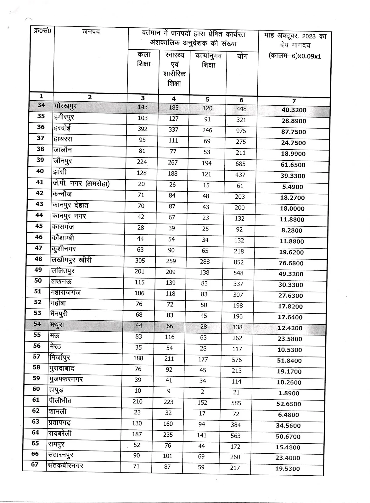
अंशकालिक अनुदेशक मानदेय माह अक्टूबर, 2023 की धनराशि प्रेषण के सम्बन्ध में

अंशकालिक अनुदेशक मानदेय माह अक्टूबर, 2023 की धनराशि प्रेषण के सम्बन्ध में