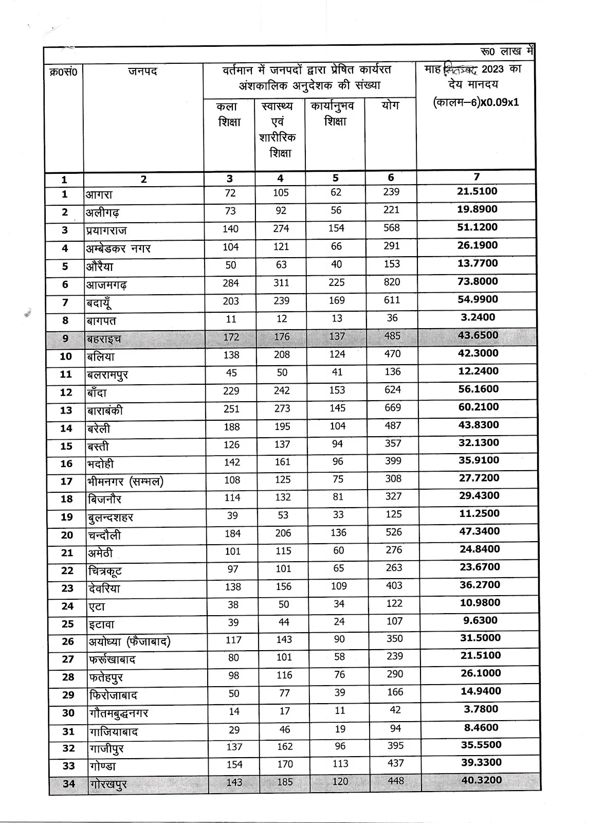
अंशकालिक अनुदेशक मानदेय माह सितम्बर 2023 की धनराशि प्रेषण के सम्बन्ध में

अंशकालिक अनुदेशक मानदेय माह सितम्बर 2023 की धनराशि प्रेषण के सम्बन्ध में