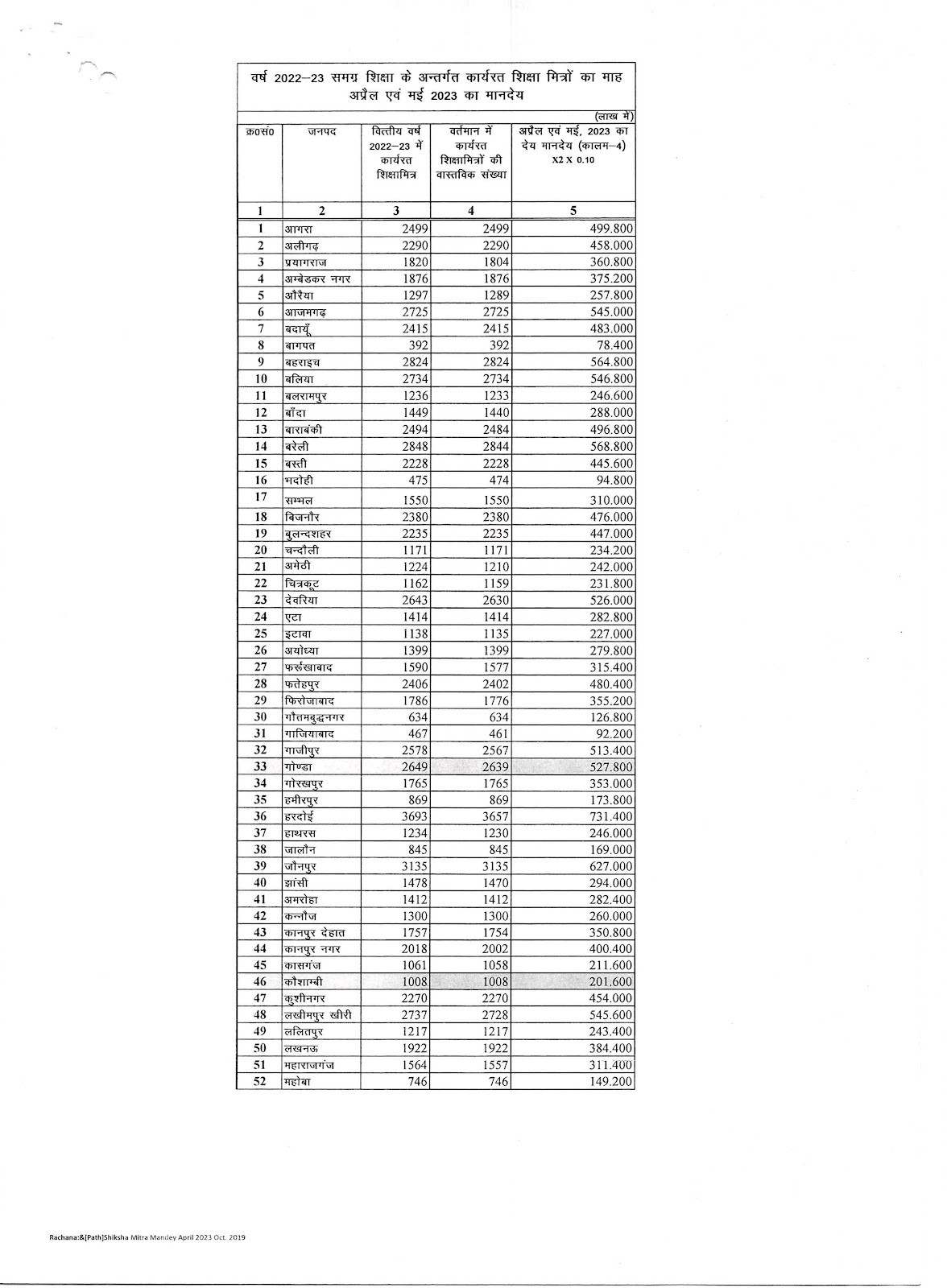
शिक्षामित्र मानदेय माह अप्रैल एवं मई, 2023 की धनराशि प्रेषण के सम्बन्ध में

शिक्षामित्र मानदेय माह अप्रैल एवं मई, 2023 की धनराशि प्रेषण के सम्बन्ध में