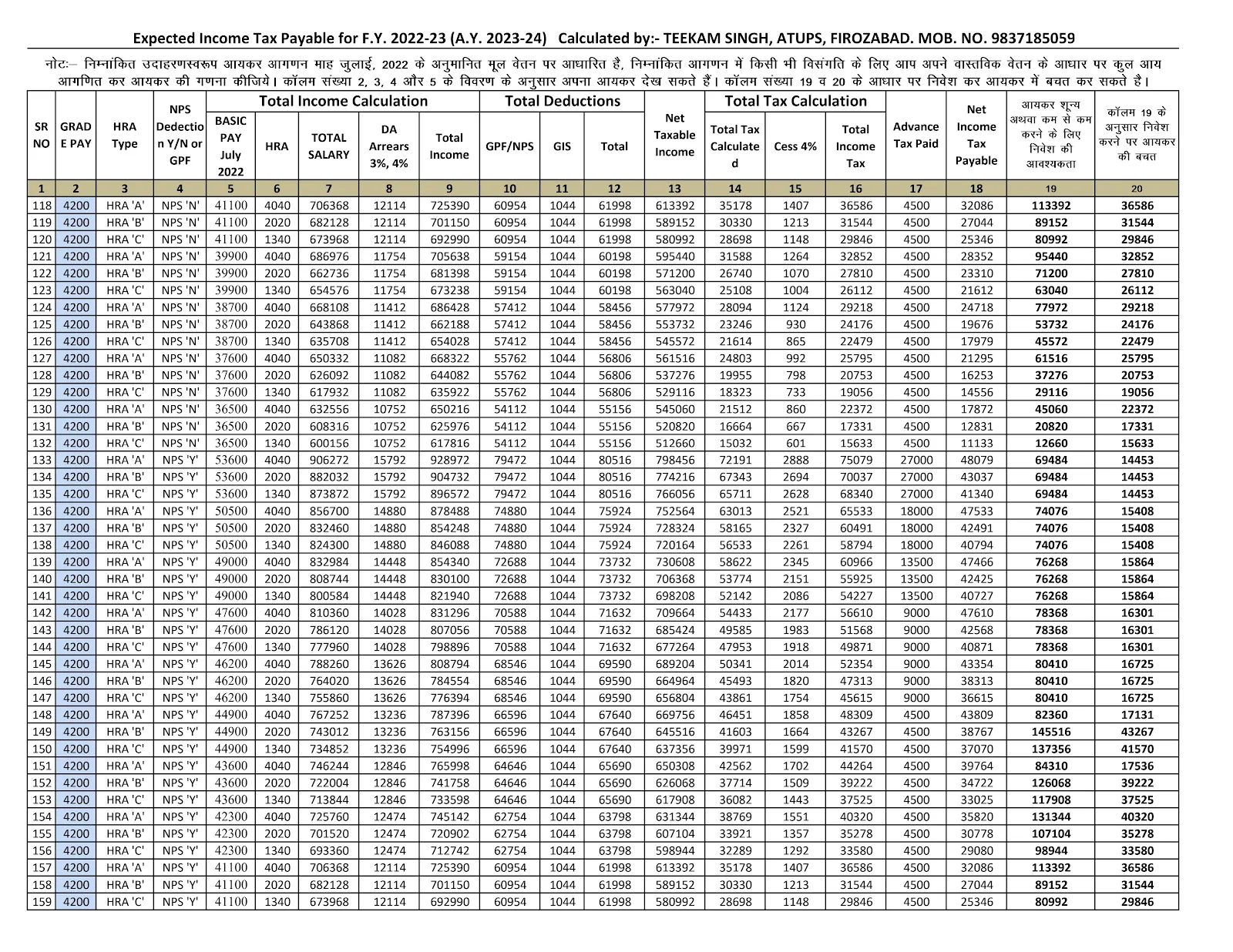
वित्त वर्ष 2022-23 के लिए बचत-1 के साथ अपेक्षित देय आयकर तालिका : Expected Income Tax Payable for FY 2022-23 with Savings-1

Expected Income Tax Payable for FY 2022-23 with Savings- 1  

👉 DOWNLOAD PDF FILE