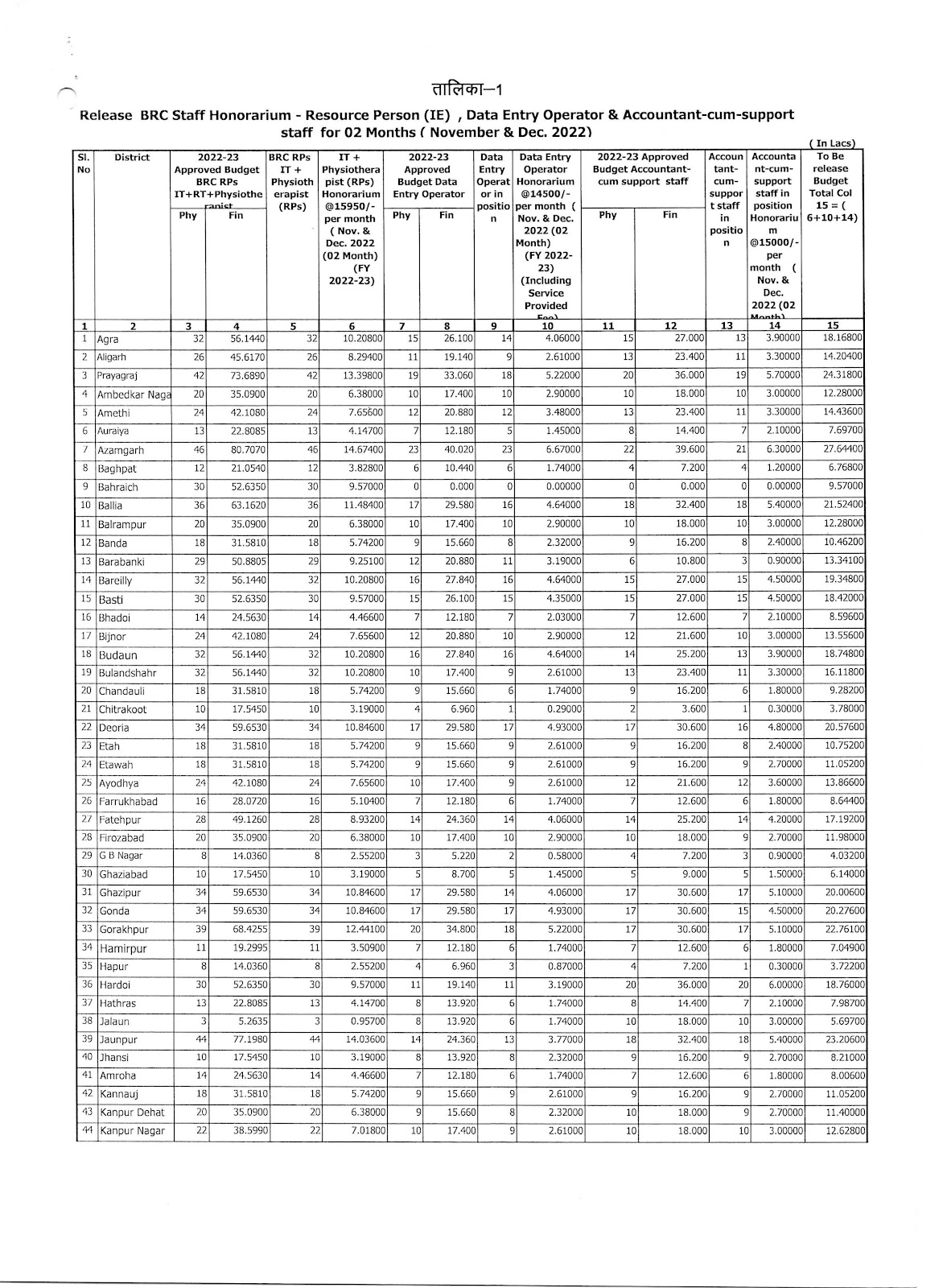
ब्लॉक संसाधन केन्द्र पर कार्यरत डाटा एण्ट्री ऑपरेटर लेखाकार कम सपोर्ट स्टॉफ एम०आई०एस० कोऑर्डिनेटर CWSN रिसोर्स पर्सन एवं क्वालिटी को ऑर्डिनेटर के 02 माह के मानदेय एवं एरियर मानदेय हेतु धनराशि प्रेषण के सम्बन्ध में
ब्लॉक संसाधन केन्द्र पर कार्यरत डाटा एण्ट्री ऑपरेटर लेखाकार कम सपोर्ट स्टॉफ एम०आई०एस० कोऑर्डिनेटर CWSN रिसोर्स पर्सन एवं क्वालिटी को ऑर्डिनेटर के 02 माह के मानदेय एवं एरियर मानदेय हेतु धनराशि प्रेषण के सम्बन्ध में
December 07, 2022
Tags








