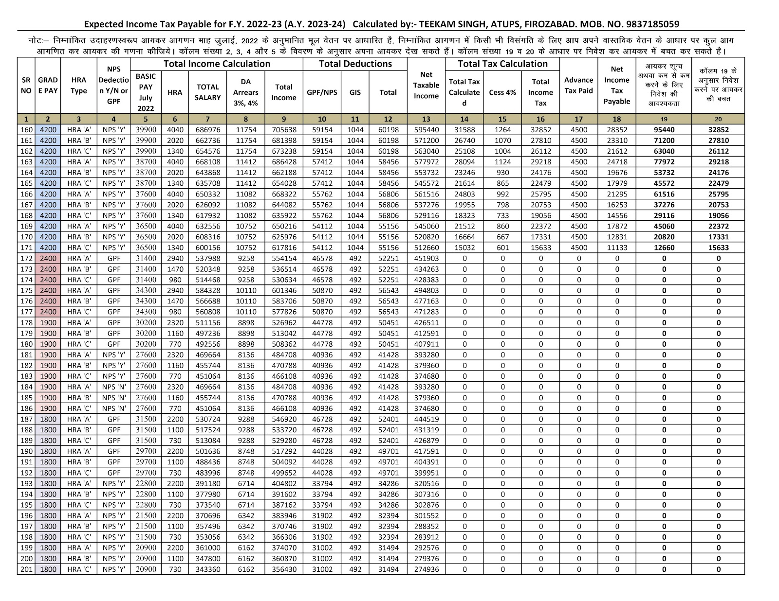
वित्तीय वर्ष 2022-23 कर निर्धारण वर्ष 2023-24 हेतु शिक्षक बन्धुओं आयकर आगणित कर अनुमानित करदेयता एवं वांछित बचत की जानकारी हेतु उपरोक्त पीडीएफ का प्रयोग कर बचत कर आयकर बचा सकते हैं।
वित्तीय वर्ष 2022-23 कर निर्धारण वर्ष 2023-24 हेतु शिक्षक बन्धुओं आयकर आगणित कर अनुमानित करदेयता एवं वांछित बचत की जानकारी हेतु उपरोक्त पीडीएफ का प्रयोग कर बचत कर आयकर बचा सकते हैं।
December 16, 2022







