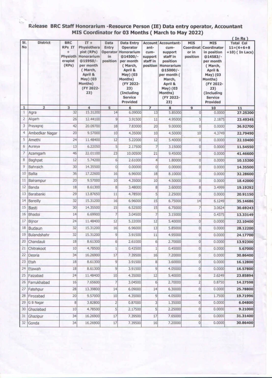
ब्लॉक डाटा एंट्री ऑपरेटर, सहायक लेखाकार, CWSN रिसोर्स पर्सन एवं MIS कॉर्डिनेटर के माह मार्च, अप्रैल, मई के मानदेय भुगतान हेतु धनराशि जारी

ब्लॉक डाटा एंट्री ऑपरेटर, सहायक लेखाकार, CWSN रिसोर्स पर्सन एवं MIS कॉर्डिनेटर के माह मार्च, अप्रैल, मई के मानदेय भुगतान हेतु धनराशि जारी