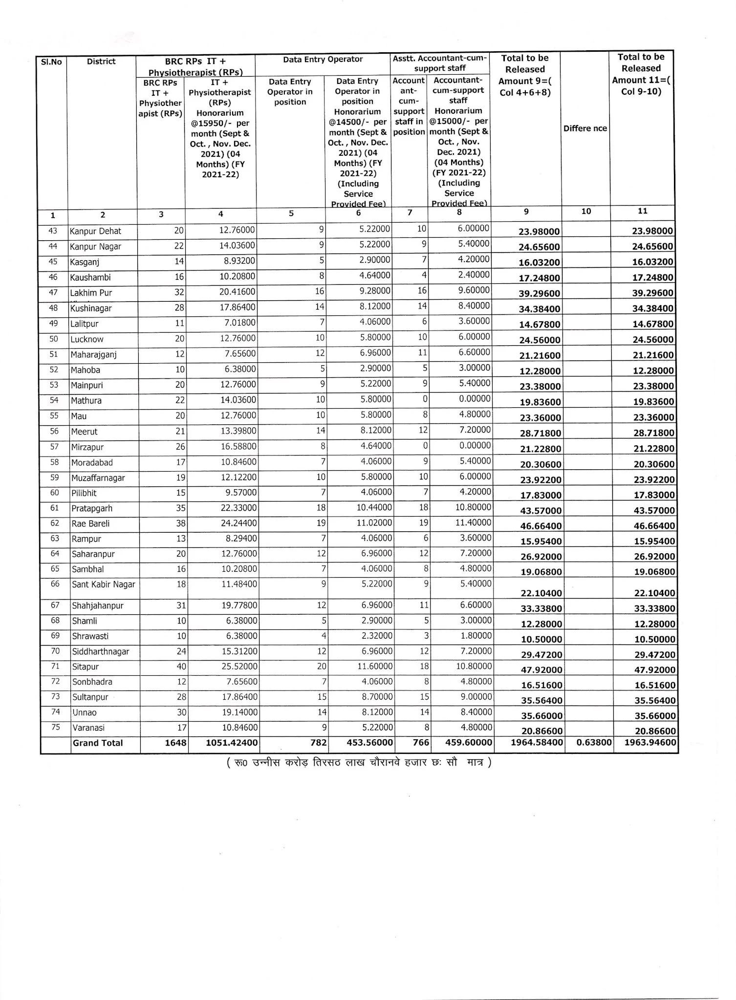
ब्लाक संसाधन केन्द्र एवं नगर संसाधन केन्द्र पर रखे गये डाटा एण्ट्री ऑपरेटर लेखाकार एवं CWSN रिसोर्स पर्सन्स के 04 माह के मानदेय हेतु धनराशि प्रेषण के सम्बन्ध में
ब्लाक संसाधन केन्द्र एवं नगर संसाधन केन्द्र पर रखे गये डाटा एण्ट्री ऑपरेटर लेखाकार एवं CWSN रिसोर्स पर्सन्स के 04 माह के मानदेय हेतु धनराशि प्रेषण के सम्बन्ध में
November 01, 2021
Tags





