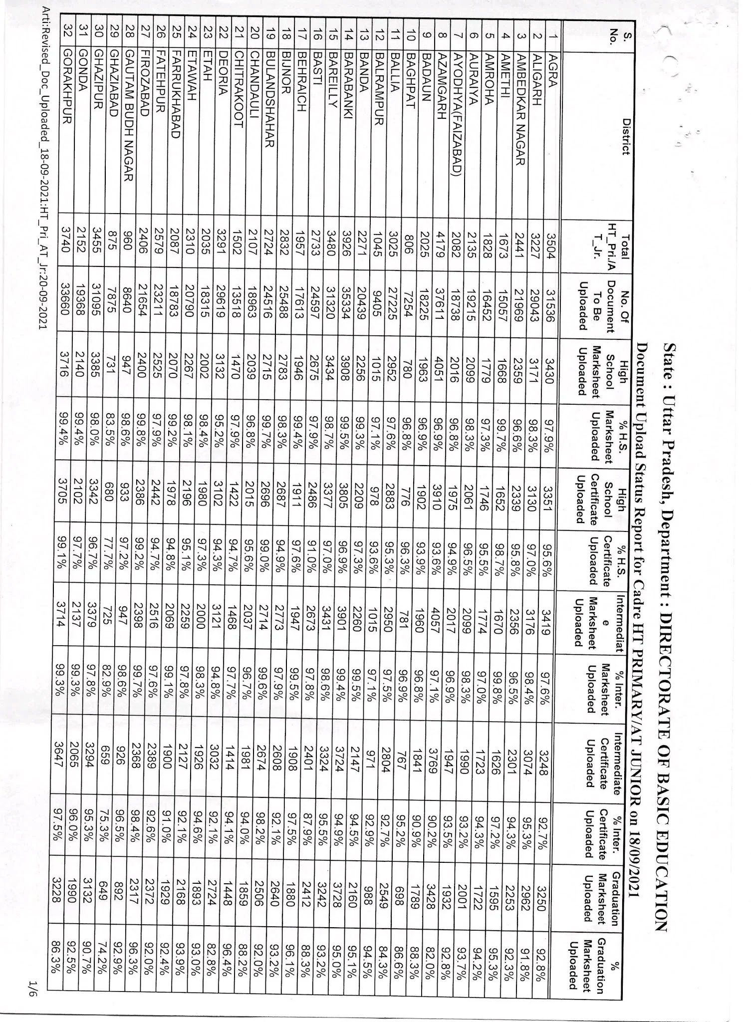
प्राथमिक विद्यालयो एवं उच्च प्राथमिक विद्यालयों में कार्यरत कर्मियो के द्वारा मानव सम्पदा पोर्टल पर हाईस्कूल के मार्कशीट एवं प्रमाण-पत्र अपलोड न किए जाने के दशा में वेतन बाधित किए जाने के सम्बन्ध में
प्राथमिक विद्यालयो एवं उच्च प्राथमिक विद्यालयों में कार्यरत कर्मियो के द्वारा मानव सम्पदा पोर्टल पर हाईस्कूल के मार्कशीट एवं प्रमाण-पत्र अपलोड न किए जाने के दशा में वेतन बाधित किए जाने के सम्बन्ध में
November 01, 2021







































