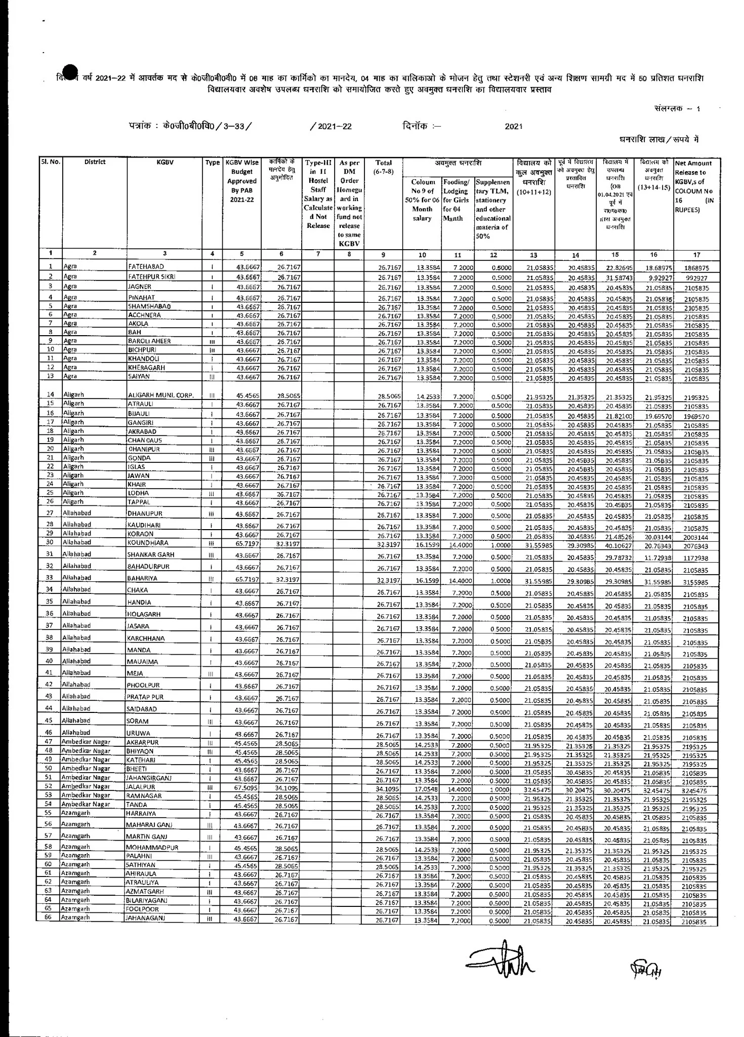
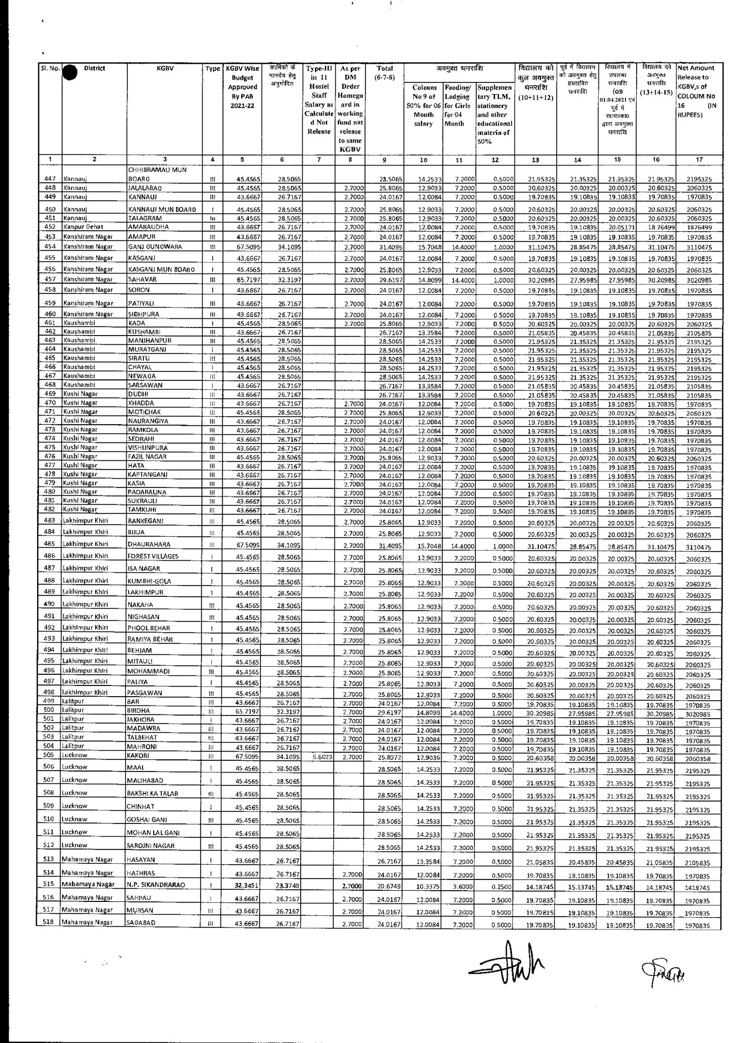
वित्तीय वर्ष 2021-22 में आवर्तक मद के उपमदों में केजीबीवी (KGBV) को अवमुक्त धनराशि के सम्बन्ध में
वित्तीय वर्ष 2021-22 में आवर्तक मद के उपमदों में केजीबीवी (KGBV) को अवमुक्त धनराशि के सम्बन्ध में
November 01, 2021
Tags
BASIC SHIKSHA NEWS
November 01, 2021