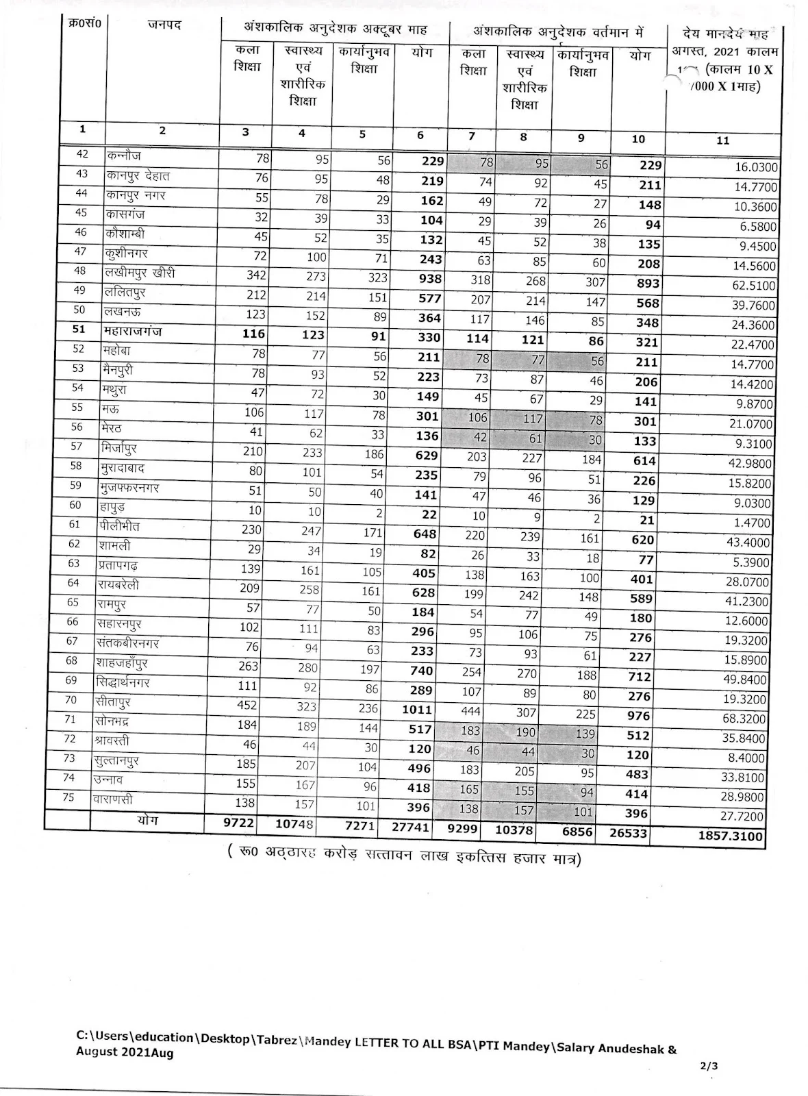
अंशकालिक अनुदेशक (मानदेय अगस्त, 2021) की धनराशि प्रेषण के सम्बन्ध में।

अंशकालिक अनुदेशक (मानदेय अगस्त, 2021) की धनराशि प्रेषण के सम्बन्ध में।